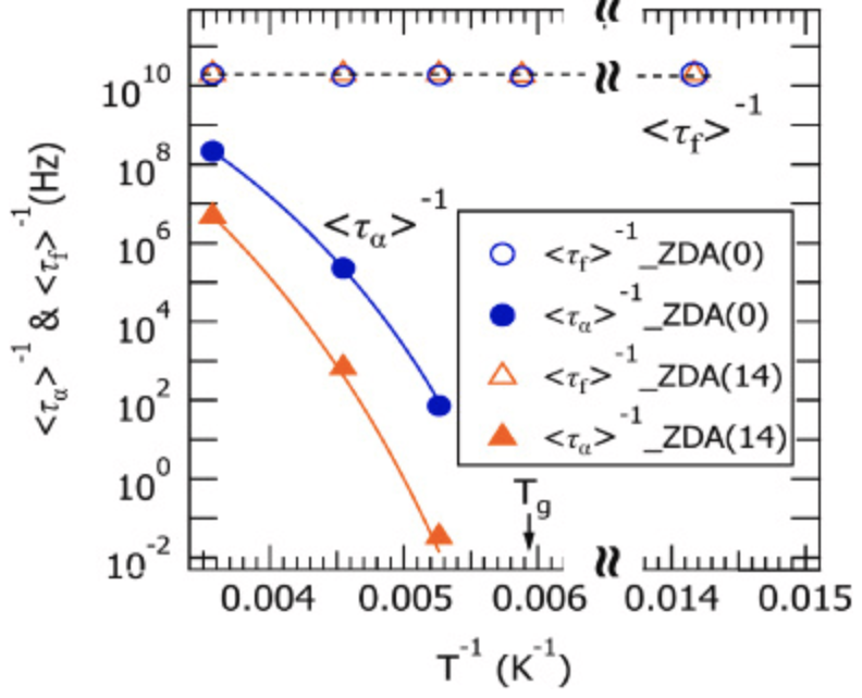
"Corrigendum to "Dynamics of polybutadiene reinforced with unsaturated carboxylate studied by muon spin relaxation (μSR)"[Polymer 105 (2016) 18856]", R. Mashita, H. Kishimoto, R. Inoue, A. Koda, R. Kadono, and T. Kanaya, Polymer 341 (2025) 129357(1-2).
